对很多同学来说,数学就是一段段让头脑仁儿都疼的抽象思维和逻辑。
一位“鬼才”老师制作17张炫酷的数学动态图,让数学原理变得清晰可见!
1、勾股定律

直角三角形的两个直角边的平方和等于斜边的平方,对很多人来讲 a²+ b²= c²就只是一堆符号而已。但实际上,这个公式也可以表述为边长为直角边长度的两个正方形的面积等于长度为斜边的正方形的面积。
2、怎样完美地画一个椭圆

椭圆的定义就是到两个定点之间的距离和保持不变的点的轨迹。这个可以用非常直观的作图法来表示出来:一段绳子,两端用图钉固定起来,用笔绷直绳子之后,移动笔形成的曲线就是一个椭圆。
3、圆柱形的表面积

各种立体几何图形的表面积让人头疼,也让人很难记忆。其实所谓的表面积不过就是把图形展开之后图形的面积之和。
4、圆的面积

我们都知道圆的面积公式,但是有多少人知道圆的面积是怎么求出来的吗?这里给出了一个非常直观非常直观的求解方法之一。
5、正弦函数和余弦函数之间的关系

sin函数和cos函数之间有着非常密切的关系。二者之间的转化公式以及衍生的转换公式也非常多。其实,二者之间的关系可以非常直观地在一个圆上表示出来。事实上,在一些复杂的数学变换,例如傅立叶变化等等,也需要对这二者之间的关系有一个非常直观的了解。
6、多边形的外角和为360度

这个定理的证明可以有很多解析方法,但是再多的解析方法哪儿有直观地看到和感受到来得直接。
7、圆锥的体积

圆锥的体积是等地面积圆柱体积的1/3。图中很直观地证明了这一点。
8、黎曼求和

黎曼利用不同宽度的长方形的面积和来近似求取不规则曲线所包含的面积,当长方形的宽度逼近无限小的时候,就是现代的定积分公式了。这里形象展示了不同宽度情况下,求的的面积和真实曲线下面面积之间的差别。
9、PI的直观解释

我们都知道PI和圆的周长有关,下面是PI非常直观的解释。
10、抛物线的绘制方法

在纵轴上取一个点,所有到这个点以及和横坐标垂直的点之间距离相等的点组成的轨迹就是一个抛物线。
11.正弦、余弦空间显示

12. 分形

13. 心形线

14. 直线在双曲面上的运动

15. 正、余弦——三角函数

16. 从左到右,依次删除这个数字中的位数
留下的数字仍然是质数

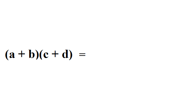
17.使用“FOIL”轻松的解决二项式乘法

18. 无限正方形

19. 矩阵转置的可视化表示

20. 平面和圆环面的一种特殊交线:
Villarceau circles


21. 正切的可视化表现

22. 高斯尺规作图17边形






