您好,欢迎来到花生壳b2b外贸网信息发布平台!
18951535724
  •  
     

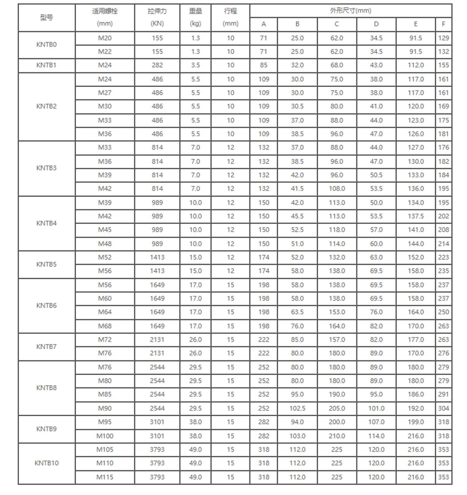
    柯恩曼特 PLC同步液压拉伸器 弹簧自动复位 过行程保护

    价格 2900.00对比
    发货 广西南宁市
    运费 包邮
    销量 暂无
    评价 已有 0 条评价
    人气 已有 12 人关注
    数量
    +-
    库存139986
     
    联系方式
    加关注0

    江苏柯恩曼特装备有限公司

    企业会员第1年
    资料未认证
    保证金未缴纳
    产地
    江苏泰州
    执行标准
    国标
    经营模式
    自产自销
    类别
    螺栓拆卸张紧
    适用机械
    通用
    工作温度
    常温
    行程
    8-12mm
    产品材质
    45#调质处理
    电机功率
    0.55-15kW
    质保
    一年
    型号
    SL-TA
    质量等级
    一级
    是否进口
    体积
    可定制
    品牌
    柯恩曼特

    举报收藏 0